Mecloxamine Citrate Impurity 1

Name :  Mecloxamine Citrate Impurity 1

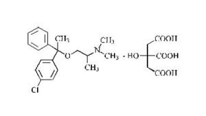
Synonyms :  Des-chloro mecloxamine citrate

Chemical Name :  [2-(1,1-Diphenyl-ethoxy)-1-methyl-ethyl]-dimethyl-amine,Citrate

Molecular Formula :  C25H33NO8

Molecular Weight :  475.53

CAS No.  NA

Pack Size : On request

  Go back to Category List