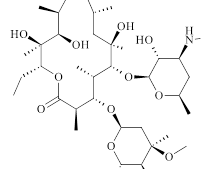
Impurity-J [EP]

Name :  Impurity-J [EP]

Synonyms :  13-O-decladinosylazithromycin [EP]

Chemical Name :  (2R,3S,4R,5R,8R,10R,11R,12S,13S,14R)-2-Ethyl-3,4,10,13-tetrahydroxy-3,5,6,8,10,12,14-heptamethyl-11-[[3,4,6-trideoxy-3-dimethylamino-β-D-xylohexopyranosyl] oxy]-1-oxa-6-azacyclopentadecan-15-one

Molecular Formula :  C30H58N2O9

Molecular Weight :  590.78

CAS No.  117693-41-1

Pack Size : On request

  Go back to Category List